Asking Price

Asking price

€120,000
120,000€ Asking Price
For Sale
Site At Doogort, Achill, Co Mayo

Property Summary

This is an incredible opportunity to acquire a substantial 1.17 acre site, in the picture perfect location of Doogort on Achill Island, Co. Mayo.

Achill Island lies off County Mayo on the West coast of Ireland. Marked by rugged mountains and peat bogs, the island is known for its tall sea cliffs and clean beaches.

Located at the foot of the Slievemore Mountain in the historic Colony Village at Doogort.

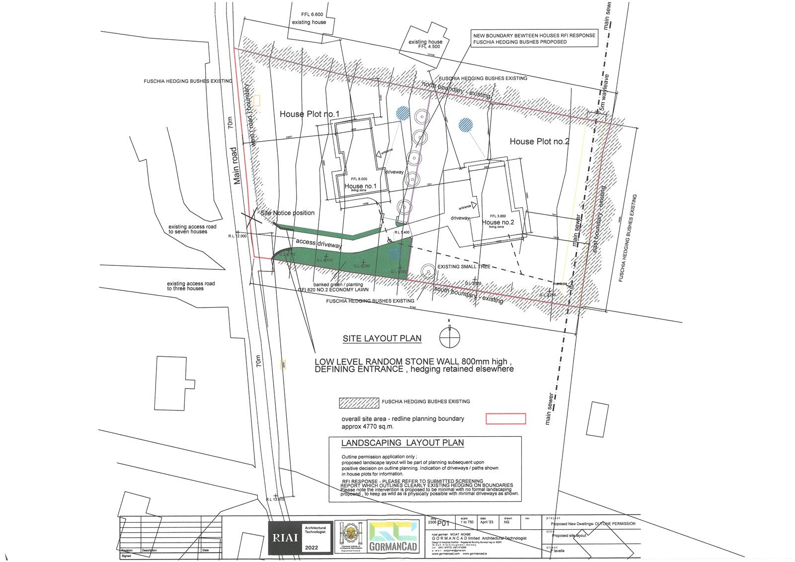
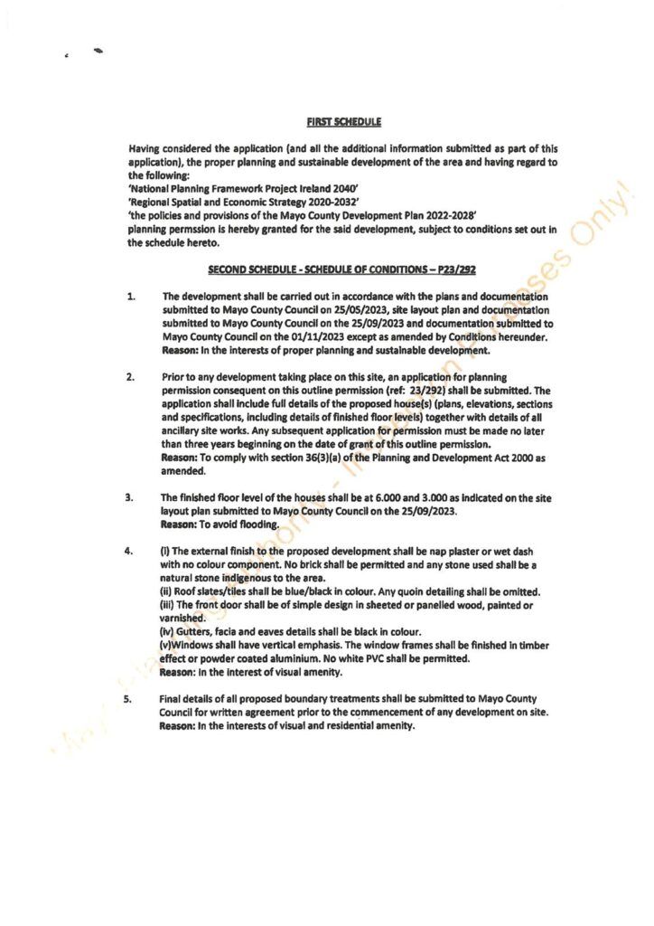
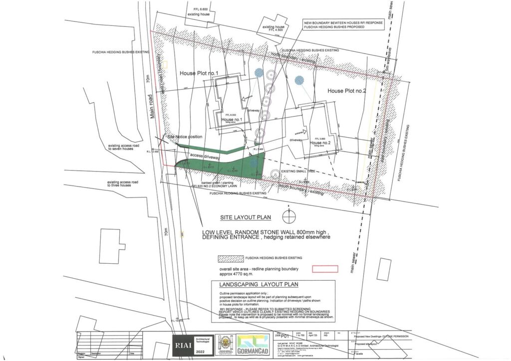
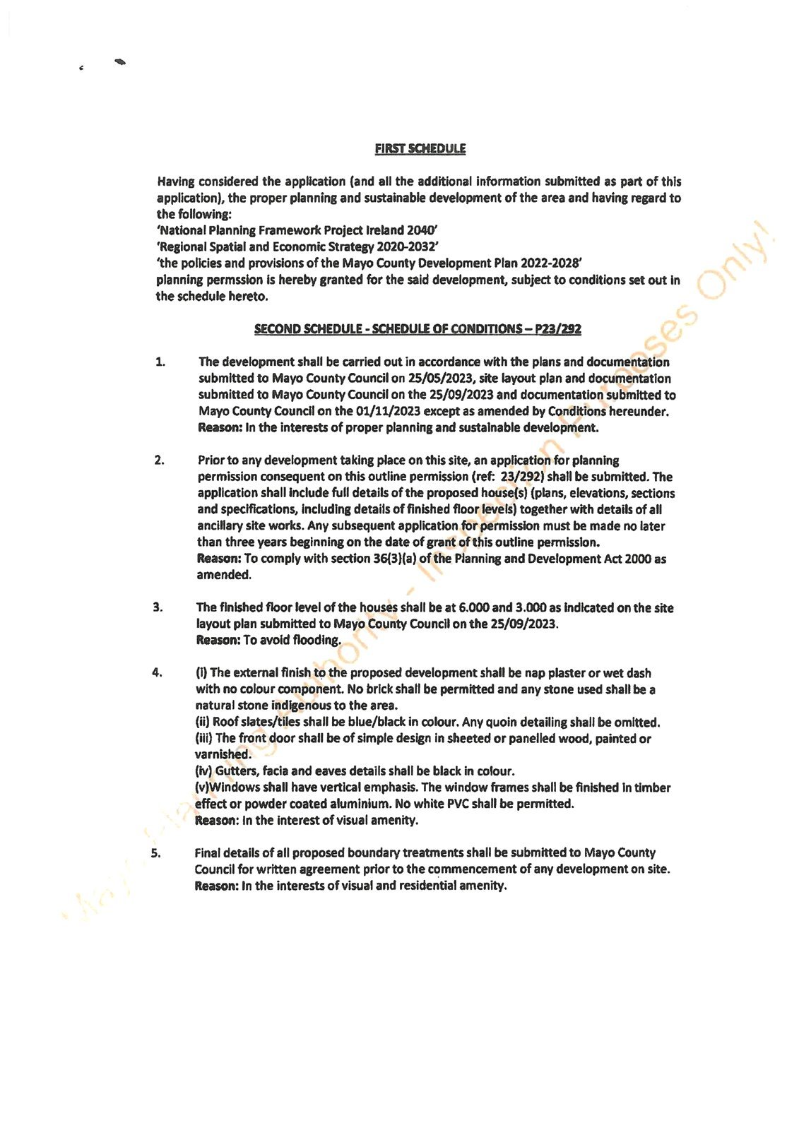
The site has outline planning for two houses and the planning Ref for the site is P23/292. There is also the added benefit of NO inurement clauses which makes this is an opportunity not to be missed.

The site offers stunning views of the nearby Silver Strand that overlooks Blacksod Bay to the North of the Island. It is a great location for many outdoor activities such as climbing, hill walking, windsurfing, sea fishing, sailing and golf.

Achill Island is known as one of the jewels in the crown of Ireland's Wild Atlantic Way. The area is rich in flora and fauna, and the nearby Doogort Silver Strand beach is a Blue Flag beach.

Westport is 50 minutes away and just 90 minutes to Ireland West Airport Knock.



Keep up to-date with NEW PROPERTIES by registering your details on our database

For Further details please contact our office on 091-564212
OFFICE OPENING HOURS - MON TO FRI 9AM TO 5:30PM

Properties can be viewed on our website www.odj.ie

NOTE: These particulars are not to be considered a formal offer. They are for information only and give a general idea of the property. They are not to be taken as forming any part of a resulting contract, nor to be relied upon as statements or representations of fact. Whilst every care is taken in their preparation, neither O’Donnellan & Joyce Auctioneers nor the vendor accept any liability as to their accuracy. Intending purchasers must satisfy themselves by personal inspection or otherwise as to the correctness of these particulars. No person in the employment of O’Donnellan & Joyce Auctioneers has any authority to make or give any representation or warranty whatever in relation to this property.

Property Features

  • Substantial 1.17 acre site
  • Outline planning for 2 houses
  • Planning Ref P23/292
  • Located at the foot of Slievemore Mountain in the historic colonly village of Doogort
  • Stunning views of nearby Silver Strand
  • Overlooking Doogort beach & Blacksod Bay
  • A host of outdoor activities in the locale
  • 50 minutes to Westport
  • 90 minutes to Ireland West Airport Knock
DESCRIPTION

Property Summary

This is an incredible opportunity to acquire a substantial 1.17 acre site, in the picture perfect location of Doogort on Achill Island, Co. Mayo.

Achill Island lies off County Mayo on the West coast of Ireland. Marked by rugged mountains and peat bogs, the island is known for its tall sea cliffs and clean beaches.

Located at the foot of the Slievemore Mountain in the historic Colony Village at Doogort.

The site has outline planning for two houses and the planning Ref for the site is P23/292. There is also the added benefit of NO inurement clauses which makes this is an opportunity not to be missed.

The site offers stunning views of the nearby Silver Strand that overlooks Blacksod Bay to the North of the Island. It is a great location for many outdoor activities such as climbing, hill walking, windsurfing, sea fishing, sailing and golf.

Achill Island is known as one of the jewels in the crown of Ireland's Wild Atlantic Way. The area is rich in flora and fauna, and the nearby Doogort Silver Strand beach is a Blue Flag beach.

Westport is 50 minutes away and just 90 minutes to Ireland West Airport Knock.



Keep up to-date with NEW PROPERTIES by registering your details on our database

For Further details please contact our office on 091-564212
OFFICE OPENING HOURS - MON TO FRI 9AM TO 5:30PM

Properties can be viewed on our website www.odj.ie

NOTE: These particulars are not to be considered a formal offer. They are for information only and give a general idea of the property. They are not to be taken as forming any part of a resulting contract, nor to be relied upon as statements or representations of fact. Whilst every care is taken in their preparation, neither O’Donnellan & Joyce Auctioneers nor the vendor accept any liability as to their accuracy. Intending purchasers must satisfy themselves by personal inspection or otherwise as to the correctness of these particulars. No person in the employment of O’Donnellan & Joyce Auctioneers has any authority to make or give any representation or warranty whatever in relation to this property.

Mortgage Calculator

Contact Us

Jamie Costello
Lettings & Sales Agent

Next Steps

Call the office:

RECOMMENDED FOR YOU

YOU MAY ALSO LIKE

Silverstrand Lodge, Barna Road, Barna, Galway, H91 RPA0

Ballymoneen Road, Knocknacarra, Galway, H91 728N

Rahoon House, Ros Geal, Rahoon Road, Rahoon, Galway City, H91 90F3